6. Matrix Factorization(SVD) for Recommend System.
2024. 1. 5. 16:06ㆍNAVER AI Tech/Deep Knowledge Tracing

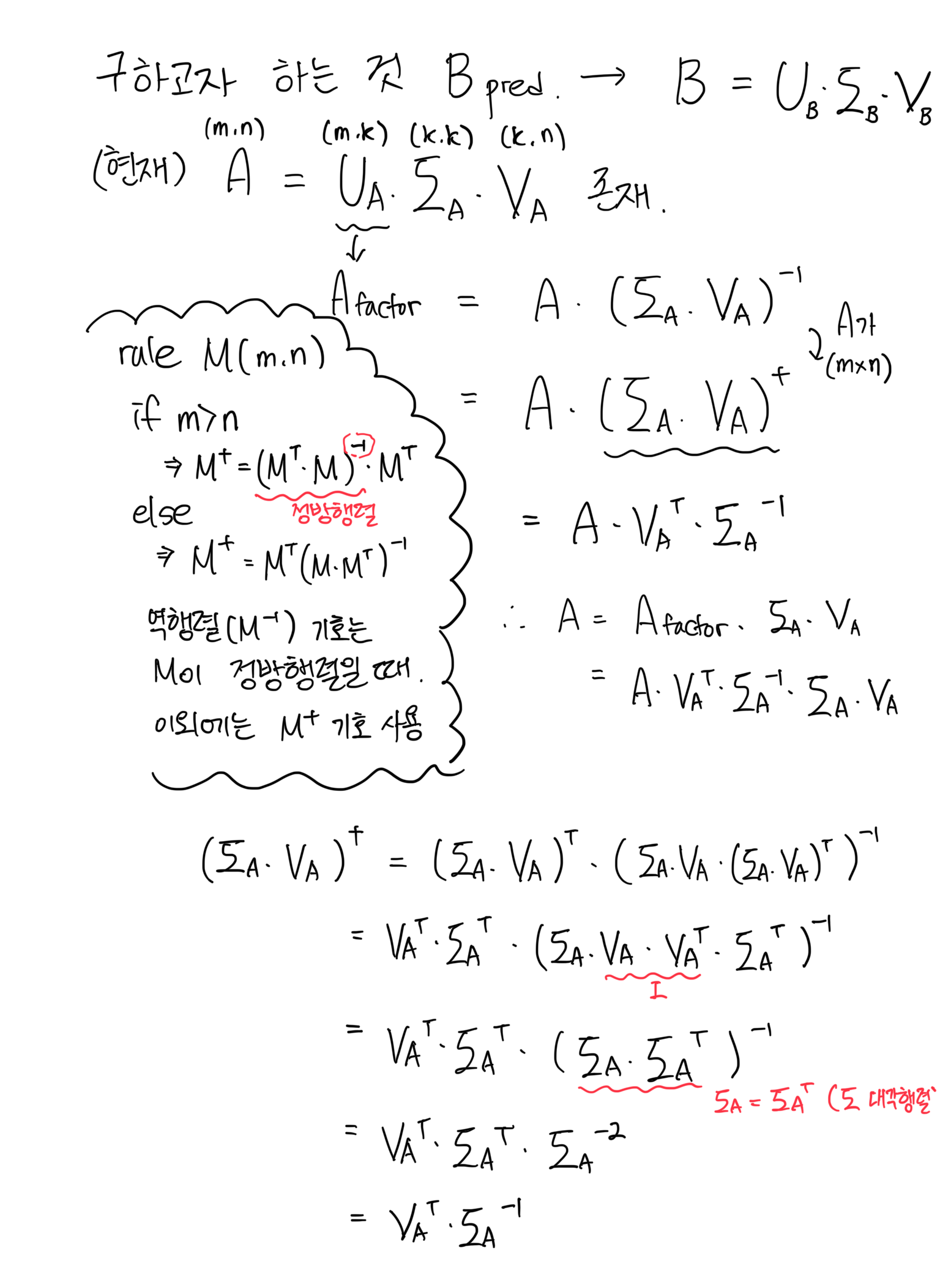
user-item matrix
- train data : 구매한 항목은 1, 구매하지 않은 항목은 0으로 표기 → U, sigma, V를 얻을 수 있음
- test data : 새로운 user(or 새로운 item)에 대하여 궁금한 항목을 0.5로 표기 후 train에서 얻은 sigma, V를 사용하여 U를 구함.
why U?

따라서 U(=test data으로부터 유사 역행렬을 도출), sigma(=from train), V(=from train)을 활용하여 test data를 예측.
'NAVER AI Tech > Deep Knowledge Tracing' 카테고리의 다른 글
| 5. Graph Neural Network for Recommend System (2) | 2024.01.05 |
|---|---|
| 4. Transformer Fine Tuning (0) | 2024.01.04 |
| 3. (Kaggle) Riiid Competition Winner's Solution (0) | 2024.01.04 |
| 2. How to make sequence data (1) | 2024.01.03 |
| 1. Deep Knowledge Tracing (0) | 2024.01.03 |